菜单
菜单
  • 简体中文 English
  • 网站首页
  • 关于我们
  • 产品展示
  • 产品定制
  • 质量保证
  • 新闻动态
关于我们
  • 集团简介
  • 事业部简介
  • 发展历程
  • 企业文化
产品展示

欢迎来到山东英朗化工-氟氯溴碘事业部!

咨询热线:18266341753 15098730035
  • 网站首页
  • 关于我们
    集团简介 事业部简介 发展历程 企业文化
  • 产品展示
    氟化物系列 氯化物系列 溴化物系列 碘化物系列 其他产品
  • 企业服务
    产品定制 售后服务
  • 质量保证
  • 新闻资讯
  • 联系我们
    联系方式 在线留言
语言 中文 English
产品推荐 TOP PRODUCTS
  • 氟化物系列
  • 氯化物系列
  • 溴化物系列
  • 碘化物系列
  • 其他产品
联系我们 CONTACT

地址:济南历下区中央商务区(CBD)华润置地广场南区六区2号楼六层

电话:18266341753

邮箱:sunling@sdylhg.com

产品展示 您当前的位置:网站首页 > 产品展示 >
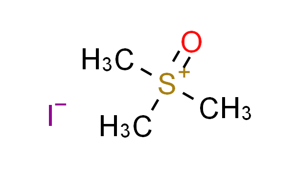
三甲基碘化亚砜

三甲基碘化亚砜(Trimethylsulfoxonium iodide),又称三甲基硫氧碘代物、三甲基氧化硫碘等,是一种重要的有机合成试剂。以下是对其的详细介绍:
一、基本信息
中文名称:三甲基碘化亚砜
英文名称:Trimethylsulfoxonium iodide
CAS号:1774-47-6
分子式:C3H9IOS
分子量:220.07
EINECS号:217-204-2
 
二、物化性质
外观与性状:白色至黄色晶体,有时也可能呈现浅橙色。
熔点:208-212 °C
密度:约为1.7074
溶解度:在水中的溶解度较好,具体为15 g/L(20 oC),也可溶于二甲基亚砜,微溶于甲醇。
PH值:在50g/l,25℃下的pH值为4.8~6.0
敏感性:对光敏感,储存时需注意避光。
 
三、用途
有机合成:三甲基碘化亚砜是有机合成中一个方便和重要的试剂,主要用于合成环氧化合物。它可以与多种不饱和活化烯烃或羰基进行反应,构建环氧或环丙烷类化合物,如COREY-CHAYKOVSKY环氧环丙烷化反应。
医药中间体:用于合成氟康唑等医药中间体。
材料科学:在光电领域,三甲基碘化亚砜被用于改性三维钙钛矿材料,以提高钙钛矿太阳能电池的稳定性和效率。
 
四、制备方法
三甲基碘化亚砜可由二甲亚砜与碘甲烷反应制得。这一反应是制备该化合物的主要方法。
 
五、安全信息
危险品标志:Xn(有害)、Xi(刺激)
危险类别码:R22(吸入有害)、R36/37/38(刺激眼睛、呼吸系统和皮肤)
安全说明:S26(不慎与眼睛接触后,请立即用大量清水冲洗并征求医生意见)、S37/39(使用合适的手套和防护眼镜或者面罩)
 
六、储存与运输
储存条件:应储存在阴凉、干燥、通风良好的地方,避免阳光直射,保持容器密封。
运输注意事项:运输过程中应防止撞击和泄漏,确保安全。
  • 关于我们 事业部简介 企业文化 发展历程
  • 产品展示 氟化物系列 氯化物系列 溴化物系列 碘化物系列 其他产品
  • 企业服务 产品定制 售后服务
  • 新闻资讯
  • 联系我们 联系方式 在线留言
微信公众号

联系人:李经理

热线:18266341753

邮箱:sunling@sdylhg.com

地址:济南历下区中央商务区(CBD)华润置地广场南区六区2号楼六层

Copyright@2024 山东英朗化工-卤化物产业链  备案号:鲁ICP备19059204号-13 技术支持:山东商谱信息技术有限公司
  • 在线咨询
  • QQ:836311816
  • 18266341753
  •  一键电话
  •  在线留言
  •  联系我们
  •  返回首页